Những góc nhìn Văn hoá
Phân tầng xã hội và di động xã hội ở Việt Nam hiện nay [kỳ 2]
Chương I: Khái lược về phân tầng xã hội và di động xã hội
...
1. Di động xã hội
Sau quá trình phân nhóm và xếp hạng các tầng lớp được trình bày ở Mục 1 và Mục 2 (Chương I), ta có thể hình dung được mô hình phân tầng xã hội (tháp phân tầng) theo góc nhìn “tĩnh”. Còn góc nhìn “động” về mô hình phân tầng xã hội sẽ như thế nào? Tức là, sự di động xã hội của những cá nhân giữa các tầng lớp trong hệ thống phân tầng ra sao? Sự di động như vậy chính là con đường/phương thức làm thế nào mà người ta ở vào một địa vị KT-XH xác định. Từ đây, họ sẽ giành được những nguồn lợi xã hội tương ứng. Nói cách khác, góc nhìn “tĩnh” nhằm trả lời cho câu hỏi: “Ai có được cái gì, và tại sao lại như vậy? - Who gets what, and why”, thì góc nhìn “động” nhằm trả lời câu hỏi tiếp theo: “Ai tiến lên phía trước, và tại sao?” (“Who gets ahead, and why?” - Kerbo, 2000:332). Như vậy, trong nghiên cứu phân tầng, chúng ta không chỉ xem xét sự khác nhau giữa các địa vị KT-XH, mà còn điều gì xảy ra đối với các cá nhân chiếm giữ những địa vị đó. Để trả lời những câu hỏi đặt ra ở đây, ta hãy tiếp tục tìm hiểu trong Mục 3 và Mục 4 (Chương I) về di động xã hội.
Di động xã hội thường là sự chuyển dịch trở thành khuôn mẫu của các cá nhân (nhưng cũng đôi khi là cả nhóm) giữa các địa vị KT-XH khác nhau trong hệ thống phân tầng của bất kỳ xã hội nào (Scott, J., 2009: 477; Kerbo, 2000:332, 355). Nói chung, người ta thường phân chia thành di động theo chiều dọc và theo chiều ngang. Di động theo chiều dọc là sự chuyển dịch đi lên hoặc đi xuống trong dãy tôn ti thứ bậc xã hội, nhưng khả năng di động đi xuống ít khi được xem xét (Persell, 1987: 228). Sở dĩ như vậy, bởi vì xã hội càng công nghiệp hóa thì khả năng di động đi lên của các cá nhân càng lớn. Điều này giải thích vì sao mà các tầng lớp trung lưu càng lớn trong quá trình công nghiệp hóa (Giddens, 2001: 293).
“Với sự xuất hiện cuộc cách mạng công nghiệp, di động đi lên trở nên dễ xảy ra hơn di động đi xuống, bởi vì công nghiệp hóa có nghĩa là mở rộng các vị trí địa vị cao và được trả lương tốt hơn, trong khi việc làm về nông nghiệp tiếp tục co lại. [...] Sự biến đổi dần dần cơ cấu nghề nghiệp với việc mở rộng việc làm trong khu vực thư ký, kỹ thuật, chuyên môn và sự giảm đi công việc lao động chân tay và nông nghiệp đã lý giải nhiều cho sự di động đi lên trong các xã hội công nghiệp phương Tây. Ngoài những biến đổi trong cơ cấu nghề nghiệp, sự di động đi lên còn tăng lên bởi những khác biệt giai cấp trong tỷ lệ sinh. Giai cấp thượng lưu và trung lưu lớp trên có xu hướng đẻ ít con hơn các gia đình giai cấp hạ lưu, do vậy có thể tạo ra những chỗ trống nghề nghiệp để các cá nhân ở địa vị thấp hơn có thể nhảy vào” (Persell, 1987:229).
Còn di động theo chiều ngang là sự dịch chuyển từ địa vị xã hội này sang địa vị khác ngang hàng. Các nhà nghiên cứu thường quan tâm đặc biệt đến di động theo chiều dọc hơn là di động theo chiều ngang, bởi vì quy mô tổng thể của di động theo chiều dọc cho ta biết được một số điều rất quan trọng về hệ thống phân tầng. Chẳng hạn như, mức độ di động theo chiều dọc càng lớn, thì hệ thống phân tầng càng mở và xã hội càng tiến gần đến sự bình đẳng về cơ hội. Hoặc, xã hội trở nên bất bình đẳng hơn là do người ta dựa trên các yếu tố thuộc về trình độ, năng lực và kỹ năng cá nhân (tức những yếu tố giành đạt được) hơn là quy gán sẵn (Kerbo, 2000: 334).
Hoặc cách khác, người ta cũng phân biệt di động xã hội giữa các thế hệ và di động xã hội trong một thế hệ. Di động giữa các thế hệ là sự so sánh địa vị KT-XH của cá nhân với địa vị của cha mẹ họ. Tức là sự biến đổi địa vị KT-XH từ một thế hệ này sang thế hệ tiếp theo. Còn di động trong một thế hệ là sự di động đi lên hoặc đi xuống (tức di động theo chiều dọc) của một cá nhân trải qua trong một thời kỳ dài, thậm chí trong cả cuộc đời lao động của họ. Trên cơ sở phương pháp đo lường phổ biến các tầng lớp xã hộilà dựa vào nghề nghiệp, cho nên các nhà nghiên cứu cũng thườngkhảo sát di động xã hội thông qua nghề nghiệp. Công trình này (ở Chương III) cũng sẽ tập trung nghiên cứu di động theo chiều dọc trong một thế hệ qua sự thay đổi nghề nghiệp của họ (bởi vì giới hạn của nguồn số liệu quy định). Trong nghiên cứu di động xã hội, người ta thường tập trung nhiều vào nghiên cứu các mẫu hình (patterns - các khuôn mẫu) di động theo chiều dọc đi lên hoặc đi xuống từ một thế hệ này sang thế hệ tiếp theo trong cấu trúc nghề nghiệp. Tức là, có bao nhiêu người di động đi lên hoặc đi xuống so với địa vị của cha mẹ họ, và bao nhiêu người không di động - vẫn giống với cha mẹ, hoặc gọi là kế thừa nghề nghiệp. Cả hai loại di động xã hội giữa các thế hệ và di động xã hội trong một thế hệ đều có thể cho ta biết về mức độ mở (hoặc đóng) của hệ thống phân tầng. Nhưng, phần lớn các nhà nghiên cứu thường quan tâm nhiều hơn đến di động xã hội giữa các thế hệ, bởi vì tính có thể kế thừa vị thế nghề nghiệp từ cha mẹ đến con cái được xem xét như là chỉ báo then chốt của sự quy gán sẵn đối lập với sự giành đạt được như thế nào (Kerbo, 2000: 335).
“Ở thế kỷ 19, những người lao động chân tay không lành nghề và nửa lành nghề, như công nhân nhà máy và nông dân có trải nghiệm một sự di động nào đó, nhưng nói chung chỉ tiến lên một hai bước trên bậc thang nghề nghiệp (Thernstrom, 1964) [...]Các mô hình di động ở thế kỷ 20 cũng tương tự. Trong một nghiên cứu đồ sộ của họ về hơn 20.000 người đàn ông và cha họ, Blau và Duncan (1967) thấy rằng sự di động trong một đời và giữa các thế hệ thường xảy ra nhưng hạn chế về phạm vi. Hầu hết con người có xu hướng đi lên chỉ một hay hai bước, và hầu hết các chuyển dịch xảy ra trong nội bộ các khu vực cổ cồn trắng, cổ cồn xanh hay nông trại hơn là giữa các khu vực nghề nghiệp đó” (Persell, 1987:229-230).
Cuối cùng, đáng chú ý nhất là các nhà nghiên cứu cũng xem xét sự phân chia di động xã hội thành hai loại di động cấu trúc (structural mobility) và di động trao đổi/tuần hoàn (exchange mobility, circulation mobility), hoặc gọi là di động thuần (pure mobility) - tức là di động phi cấu trúc nói chung (non-structural mobility). Đây là cách phân chia gây ra nhiều tranh cãi hơn cả (Scott, J., 2009: 477). Di động cấu trúc là do sự thay đổi của cấu trúc nghề nghiệp tạo ra. Đó là sự chênh lệch khác nhau về cấu trúc nghề nghiệp giữa hai thời điểm diễn ra di động xã hội. Còn di động tuần hoàn được giải thích như là tổng số của sự chuyển dịch cả đi lên và đi xuống đồng thời (chuyển dịch tuần hoàn) trong cấu trúc nghề nghiệp (Kerbo, 2000: 339). Tức là có bao nhiêu cá nhân di động đi lên, thì cũng có bấy nhiêu cá nhân tương ứng di động đi xuống. Để hiểu cụ thể hơn về di động cấu trúc và di động tuần hoàn - hai loại di động này sẽ được trình bày ở Mục 4 (Chương I)và ở Chương III (DI ĐỘNG XÃ HỘI GIỮA CÁC TẦNG LỚP). Sự phân chia di động xã hội thành hai loại như thế này là một trong những cách xem xét nguyên nhân gây ra di động xã hội- nghĩa là trả lời một phần câu hỏi tại sao: “Ai tiến lên phía trước, và tại sao?” nêu trên. Nguyên nhân gây ra di động xã hội theo cách xem xét này sẽ được tiếp tục trình bày về lý thuyết ở Mục 4 (Chương I) và trình bày qua thực nghiệm ở Mục 2 (Chương III).

Hình 1. 1. Mô hình cơ bản về quy trình phân tầng xã hội
Nguồn: Dẫn theo Grusky, 2001:394 và Kerbo, 2000:358
Cùng với di động xã hội theo chiều dọc hoặc chiều ngang, người ta cũng thường tập trung nhiều vào nghiên cứu sự đạt được về địa vị KT-XH. Nó đặt ra câu hỏi tại sao sự di động như vậy (như trên) lại xảy ra, hay không xảy ra? Những nhân tố nào giải thích cho khuôn mẫu di động theo chiều dọc, hay không di động? Nói cách khác, nghiên cứu sự đạt được về địa vị KT-XH sẽ trả lời cho câu hỏi tại sao: “Ai tiến lên phía trước, và tại sao?” Đây cũng là một trong những cách xem xét nguyên nhân gây ra di động xã hội. Nội dung nghiên cứu này nhằm tập trung vào khuôn mẫu của sự chuyển dịch trong cấu trúc nghề nghiệp (Kerbo, 2000: 331-332, 357). Blau và Duncan (1967) đã trình bày một khuôn mẫu kinh điển sự chuyển dịch này trong Mô hình cơ bản về quy trình phân tầng xã hội (tức là quy trình đạt được về vị thế nghề nghiệp) ở Mỹ năm 1962 (Hình 1.1) trên cơ sở số liệu của hơn 20.000 người đàn ông và cha của họ.
Trong khuôn mẫu về di động xã hội ở Hình 1.1 của Blau và Duncan, chiều các mũi tên chỉ sự tác động của nhân tố này đến nhân tố khác:(1) Học vấn của cha tác động đến nghề nghiệp của con trai thông qua học vấn của anh ta; (2) Nghề nghiệp của cha cũng tác động đến nghề nghiệp của con trai thông qua học vấn và nghề nghiệp đầu tiên của anh ta; (3) Trong bốn nhân tố, học vấn của con trai có tác động mạnh nhất đến nghề nghiệp (1962) của anh ta. (4) Nhưng dù sao, bốn nhân tố cũng chỉ có thể lý giải được khoảng 43% khác biệt về vị thế nghề nghiệp của con trai (còn khoảng 57% khác biệt - hoặc nguyên nhân/điều gì gây ra vị thế nghề nghiệp của con trai - thì chưa được lýgiải) (Kerbo, 2000:358). Phân tích tiếp tục cho thấy, tỉ trọng so sánh giữa tác động của học vấn con trai và tác động của nghề nghiệp bố đến nghề nghiệp của anh ta (1962) là 2,9 trên 1. Phát hiện này đã đưa Blau và Duncan đi đến kết luận rằng sự giành đạt được là quan trọng hơn sự quy gán sẵn trong việc quyết định tình trạng vị thế nghề nghiệp ở Mỹ giữa thế kỷ 20 (Scott, J., 2009: 731). Như vậy, từ Hình 1.1 có thể quy giản thành hai loại nhân tố cơ bản tác độngđể xác định địa vị KT-XH của một cá nhân trong hệ thống phân tầng.Đó là nguồn gốc gia đình (bao gồm học vấn/giáo dục và nghề nghiệp/địa vị KT-XH của cha mẹ - như là sự biểu lộ cho địa vị quy gán sẵn đối với thế hệ con cái) và học vấn/giáodục của bản thân cá nhân (đặc biệt là giáo dục bậc cao - như là sự biểu lộ cho địa vị giành đạt được của họ). Sự phân chia thành hai loại nhân tố cơ bản như thế này nhằm minh họa và là phù hợp với nội dung lý thuyết phân tầng xã hội được trình bày ở Mục 1: Tìm hiểu phân tầng xã hội (Chương I). Đó là hai phương thức đạt tới địa vị KT-XH: nhờ dựa vào địa vị quy gán sẵn và địa vị giành đạt được. Hai phương thức này thường kết hợp với nhau, trong đó có phương thức nổi trội. Xã hội càng phát triển, càng công nghiệp hóathì địa vị giành đạt được càng nổi trội, còn địa vị quy gán sẵnsẽ mờ dần.
“Vị thế nghề nghiệp giữa các thế hệ của các cá nhân xem ra có thể được lý giải bằng hai nhân tố cơ bản - trình độ giáo dục, đặc biệt là giáo dục bậc cao, và nguồn gốc gia đình. Bằng cách so sánh thành công tương đối của các anh em trai, Jencks và những người khác (1979) thấy rằng nguồn gốc gia đình lý giải được gần một nửa khác biệt về vị thế nghề nghiệp và khoảng 1/4 khác biệt về số tiền kiếm được hàng năm. Nền tảng giáo dục có tác dụng rõ rệt đến vị thế nghề nghiệp và tiền kiếm được. Giáo dục xem ra tăng số tiền kiếm được chủ yếu bằng cách mở cửa đến với các nghề nghiệp có địa vị cao (và được trả lương cao)”(Persell, 1987:230).
So sánh giữa hai loại nhân tố cơ bản nói trên cho thấy rằng, mặc dù xã hội càng công nghiệp hóa thì địa vị giành đạt được càng nổi trội hơn địa vị quy gán sẵn, nhưng nguồn gốc xã hội (trong đó có nguồn gốc gia đình là quan trọng) vẫn có tác động bền vững đến địa vị KT-XH của con cái (ở xã hội phương Tây)và tác động đến mọi nhân tố trong quá trình đạt được về địa vị KT-XH(Hình 1.1). Có lẽ đây là phát hiện then chốt (key finding) trong quá trình này: “Tóm lại, nguồn gốc giai cấp xã hội không thể không liên quan [đến sự đạt được về địa vị KT-XH - Đỗ Thiên Kính giải thích]!” (Rothman, 2005: 225). Điều này đã được Raymond Boudon chứng minh bằng lý thuyết và bằng thực nghiệm trong công trình nổi tiếng của ông (Boudon, 1974).Đồng thời, nó cũng được thể hiện qua sự kế thừa nghề nghiệp là cao hơn ở hai tầng lớp trên đỉnh và dưới đáy của cơ cấu nghề nghiệp (tháp phân tầng xã hội) ở Mỹ. Giữa hai cực (tức là các tầng lớp trung lưu) thì sự kế thừa nghề nghiệp ít hơn và sự di động giữa các thế hệ lớn hơn (Kerbo, 2000: 356, 374). Điều đó có nghĩa rằng những người sinh ra ở hai cực đỉnh và đáy tháp phân tầng thường có xu hướng gắn liền với địa vị của cha mẹ hơn. Sở dĩ như vậy, bởi vì giai cấpở đỉnh tháp thường có sự “khép kín xã hội”cao hơn các giai cấp phía dưới để bảo vệ quyền lợi của họ và ngăn cản không giai cấp trung lưu cho xâm nhập vào giai cấp họ; còn giai cấp lao động (working class- thường dịch sang tiếng Việt là giai cấp công nhân) ở dưới đáy cũng buộc phải chịu đựng sự “khép kín xã hội”và sự bất lợi của họ,không thể di động đi lên được (Bilton et al., 1993: 94-95).
Khuôn mẫu về di động xã hội ở Hình 1.1 chính là sự trả lời cho câu hỏi tại sao đặt ra ở trên: “Ai tiến lên phía trước, và tại sao?” Tuy nhiên, trong Hình 1.1 vẫn còn khoảng 57% khác biệt về vị thế nghề nghiệp của con trai chưa được lýgiải. Đồng thời, người ta cũng muốn biết học vấn và nghề nghiệp của bố tác động đến học vấn của con trai như thế nào? Và người ta cũng muốn tìm hiểu những nhân tố khác (không có trong mô hình của Blau và Duncan) lý giải vị thế nghề nghiệp và học vấn của con trai như thế nào? Để trả lời những câu hỏi này, William H. Sewell cùng với các trợ lý của ông đã đưa ra cái gọi là Mô hình Wisconsin nhằm phát triển tiếp tục mô hình của Blau và Duncan. Mô hình Wisconsin đã bổ sung thêm một vài biến số tâm lý xã hội, hoặc thái độ (như khát vọng về học vấn, nghề nghiệp, khả năng trí tuệ và thành tích học tập) nhằm lý giải đầy đủ hơn mô hình gốc của Blau và Duncan. Tức là nhằm giải thích tại sao một số người lại đạt được nhiều học vấn và vị thế nghề nghiệp cao. Phát hiện quan trọng trong mô hình Wisconsin cho rằng, địa vị KT-XH của cha mẹ có tác động đến học vấn và nghề nghiệp của con cái thông qua những nhân tố khác (đặc biệt là khát vọng về học vấn và nghề nghiệp). Như vậy, tầm quan trọng của khát vọng về học vấn và nghề nghiệp trong quy trình đạt được về địa vị KT-XH đã thể hiện ở mô hình Wisconsin. Mô hình Wisconsin cũng cho thấy sự đạt được về học vấn có tác động mạnh nhất đến sự đạt được về nghề nghiệp (điều này cũng giống với mô hình của Blau và Duncan). Về tổng thể, mô hình Wisconsin lý giải được khoảng 40% khác biệt về vị thế nghề nghiệp và khoảng 57% khác biệt về học vấn đạt được (Kerbo, 2000:359-361).
Cuối cùng, từ hai mô hình nêu trên, giới xã hội học quốc tế đã trình bày tổng hợp lại chúng trong mô hình mới đầy đủ hơn (Hình 1.2).

Hình 1. 2 Mô hình đạt được địa vị của di động xã hội
Nguồn: Biên tập lại từ tài liệucủa Rothman, 2005:225.
Trong Hình 1.2, mô hình của Blau và Duncan được thể hiện qua 5 ô in đậm nằm trên trục chính: Học vấn cha mẹ, Nghề nghiệp cha mẹ, Học vấn, Nghề nghiệp đầu tiên, Những nghề sau. Năm ô này là trục xương sống trong Hình 1.2. Nó thể hiện cuộc đời cá nhân từ khi sinh ra, trải qua quá trình học tập và trưởng thành để đạt tới những bậc thang xã hội về sau. Trong đó, nguồn gốc giai cấp xã hội của cha mẹ luôn gắn liền theo suốt quá trình này. Hai ô còn lại thuộc về mô hình Wisconsin: Năng lực học tập, trí tuệ và Khát vọng học vấn, nghề nghiệp, v.v…Tóm tắt lại, Hình 1.2 thể hiện ba giai đoạn của quy trình đạt được về địa vị KT-XH: (1) Giai đoạn thứ nhất: Nguồn gốc giai cấp xã hội của cha mẹ có ảnh hưởng trực tiếp đến học vấn đạt được, năng lực học tậpvà những khát vọng của con cái. Những khát vọng và năng lực của con cái có tác động độc lập đến quá trình học tập; (2) Giai đoạn thứ hai: Nguồn gốc xã hội và trình độ học vấn có tác động đến nghề nghiệp đầu tiên; (3) Giai đoạn thứ ba: Nguồn gốc xã hội, trình độ học vấn và nghề nghiệp đầu tiên có ràng buộc chặt chẽ đến những nghề sau (Rothman, 2005: 224-225). Hình 1.2 là một trong những cách xem xét tương đối đầy đủ nguyên nhân gây ra di động xã hội.
Những kết quả nghiên cứu lý thuyết, cùng thực nghiệm về di động xã hội và mô hình về quy trình đạt được về địa vị KT-XH trình bày trên đây được đặt trong bối cảnh rộng lớn hơn. Đó là bối cảnh của mối quan hệ giữa quá trình công nghiệp hóa và phân tầng xã hội. Tức là, quá trình công nghiệp hóa đã có ảnh hưởng lớn đến hệ thống phân tầng xã hộinhư thế nào. Điều này có ý nghĩa đặc biệt đối với Việt Nam đang tiến hành công nghiệp hóa đất nước hiện nay C hủ đề về mối quan hệ giữa quá trình công nghiệp hóa và phân tầng xã hội đã được các nhà nghiên cứu trên thế giới quan tâm từ những năm 1960~1970 cho đến tận năm 2000 (Imada, 2000:51), và tiếp tục sau năm 2000 thì tôi chưa rõ. Những nghiên cứu về chủ đề này trên thế giới đều dựa trên các số liệu thực nghiệm và đã đưa ra một số luận điểm cơ bản (có ý nghĩa như các luận đề kinh điển – classical thesis) về mối quan hệ giữa quá trình công nghiệp hóa và phân tầng xã hội. Đặc biêt,Treiman là người đã nghiên cứu và biên soạn lại các luận đềmột cách có hệ thống. Ông đã lập luận và dựa trên những nghiên cứu thực nghiệm để đưa ra 24 luận điểm, hoặc phát biểu về chủ đề này trong một bài viết của mình (Treiman, 1970). Các luận điểm tập trung vào những lĩnh vực nghề nghiệp, giáo dục, thu nhập, di động xã hội và quy trình đạt được về địa vị, hậu quả của phân tầng. Nhiều nhà xã hội học gọi đó là những luận đề kinh điển về công nghiệp hóa (Imada, 2000: 35-36).Tức là những luận đề nói về tác động của công nghiệp hóa đến hệ thống phân tầng xã hội. Trong số 24 luận điểm, có vài luận điểm được thực nghiệm khẳng định là đúng. Phần lớn các luận điểm còn là giả thuyết và cần được thực nghiệm kiểm tra. Trên cơ sở Hình 1.1, cuốn sách này giới thiệu một số luận điểm về di động xã hội và quy trìnhđạt được về địa vị KT-XH (trong bối cảnh tác động của công nghiệp hóa đến phân tầng xã hội) của Treiman đưa ra còn là giả thuyết khi ấy (Treiman, 1970:221):
“I.B.1. Xã hội càng công nghiệp hóa, thì ảnh hưởng trực tiếp của vị thế nghề nghiệpcủa cha lên vị thế nghề nghiệp của con trai càng giảm.
I.B.2. Xã hội càng công nghiệp hóa, thì ảnh hưởng trực tiếp của sự đạt được về học vấn lên vị thế nghề nghiệp càng lớn
I.B.3. Xã hội càng công nghiệp hóa, thì ảnh hưởng của địa vị của cha mẹ lên sự đạt được về học vấn càng giảm.
I.B.4. Xã hội càng công nghiệp hóa, thì tỉ lệ di động tuần hoàn càng lớn.
Những luận điểm công nghiệp hóa của Treiman được dựa trên số liệu thực nghiệm của các nước công nghiệp vào năm 1950s~1960s. Những năm tiếp theo về sau, đã có nhiều nhà xã hội học ở Nhật Bản tiếp tục kiểm chứng những luận điểm này thông qua các cuộc khảo sát Phân tầng xã hội và Di động xã hội (gọi tắt là SSM). Một số luận điểm tiếp tục được sự ủng hộ bằng số liệu thực nghiệm mới, một số luận điểm khác lại không được sự ủng hộ đó. Luận điểm I.B.4 của Treiman cũng sẽ được kiểm chứng trong sách này (Chương III: DI ĐỘNG XÃ HỘI GIỮA CÁC TẦNG LỚP). Vấn đề đặt ra là cần tiếp tục nghiên cứu để phát triển mở rộng nhằm hoàn thiện hơn những hiểu biết về tác động của công nghiệp hóa đến phân tầng xã hội trong quá trình phát triển của xã hội loài người. Hy vọng rằng, các luận điểm trên đây sẽ được những người nghiên cứu ở Việt Nam kiểm chứng là rất thiết thực trong bối cảnh công nghiệp hóa đất nước hiện nay.
2. Đo lường di động xã hội
Mục này nhằm tìm hiểu phương pháp đo lườngsự thay đổi từ địa vị gốc ban đầu tới địa vị xã hội tại một thời điểm xác định nào đó. Trước đây, chỉ số gắn kết (Index of Association) thường được sử dụng rộng rãi trong việc đo lường mức độ gắn kết về địa vị xã hội giữa hai thế hệ. Sau đó, chỉ số này tỏ ra sai lệch. Vì vậy, Saburo Yasuda (nhà xã hội học Nhật Bản) đã nghiên cứu ra phương pháp đo lường mới được thể hiện qua chỉ số Yasuda (Yasuda Index) mang tên ông. Phương pháp đo lường di động xã hội giữa các thế hệ của Yasuda và ý nghĩa xã hội học của chúng được trình bày chi tiết trong nguồn tài liệu (Yasuda, 1964, 1971; Kosaka, 1994:54~60, 186~187). Mục này trình bày tóm tắt lại phương pháp đó từ các nguồn tài liệu này dựa trên cơ sở xuất phát từ Bảng 1.3.
Bảng 1. 3. Đo lường di động xã hội từ thế hệ cha sang thế hệ con

Nguồn: Biên tập lại từ (Yasuda, 1964:17; 1971:70) và (Kosaka, 1994:186)
Ta có Bảng 1.3 vuông (k Ík) thể hiện mối tương quan giữa địa vị xã hội của cha và địa vị xã hội của con. Công trình nghiên cứu này áp dụng Bảng 1.3 để đo lường sự di động dọc trong một thế hệ. Bảng 1.3 thể hiện và biểu lộ (demonstrate) sự biến đổi của cấu trúc xã hội trong quãng thời gian dài một thế hệ (khoảng 25 năm). Điều này đã thể hiện ý nghĩa xã hội học một cách tổng quát của Bảng 1.3 về di động xã hội.Bảng 1.3 thể hiện hai dòng di động đi ra (outflow mobility) và di động đi vào (inflow mobility). Đây là điều quan trọng khi nghiên cứu về di động xã hội. Dòng di động đi ra chính là các hàng ni. (tỉ lệ % tính theo mỗi hàng = 100%), còn dòng di động đi vào chính là các cột n.i (tỉ lệ % tính theo mỗi cột = 100%). Dòng di động đi ra cho thấy những người cha với địa vị xã hội của mình đã sinh ra những người con chiếm giữ các địa vị xã hội hiện tại như thế nào. Tức là, dòng di động đi ra cho biết những người cha đã có bao nhiêu người con kế thừa địa vị của họ và bao nhiêu người con khác di chuyển đến những địa vị xã hội mới (không kế thừa). Mặt khác, dòng di động đi vào xác định rõ nguồn gốc địa vị xã hội trước đây của những người con gia nhập vào các địa vị xã hội hiện tại là từ đâu. Tức là, dòng di động đi vào cho biết hiện tại có bao nhiêu người con được tuyển dụng kế thừa từ địa vị xã hội trước đây của cha mình và bao nhiêu người con còn lại được tuyển dụng từ những địa vị xã hội khác với cha mình (không kế thừa). Như vậy, tiêu điểm chính của dòng di động đi ra là mức độ kế thừa nghề nghiệp từ cha sang con, còn tiêu điểm chính của dòng di động đi vào là mức độ gia nhập nghề nghiệp hiện tại của con từ các nghề nghiệp trước đây của cha mình như thế nào.
Trong Bảng 1.3, dãy số nằm trên đường chéo chính (n11 . . . nii . . . nkk) thể hiện sự không thay đổi về địa vị xã hội từ cha đến con. Những con số còn lại nằm ở hai phía đường chéo chính thể hiện sự di động xã hội: di động đi lên (upward mobility) và di động đi xuống (downward mobility).Tổng số hai loại di động đi lên và đi xuống chính là tổng số di động thực tế trong Bảng 1.3:
Tổng số di động thực tế = Tổng số di động đi lên + Tổng số di động đi xuống
Như vậy, tổng số di động thực tế (factual mobility, hoặc gross mobility) trong Bảng 1.3bằng tổng số N trừ đi tổng số địa vị không thay đổi từ cha sang con (Snii), tức là trừ đi tổng dãy số nằm trên đường chéo chính từ n11 đến nkk . Biểu diễn bằng công thức toán học ta có:
Tổng số di động thực tế = N — Snii (1)
Khi tính toán tỉ lệ di động thực tế trong xã hội từ công thức (1), ta sẽ có:
Tỉ lệ di động thực tế =
(2)
Căn cứ vào xu hướng thay đổi của tỉ lệ di động thực tếở công thức (2) ta có thể biết được xã hội đó vận động như thế nào (vận động đi lên, hoặc tụt lùi, hoặc ổn định không thay đổi). Ví dụ, nếu một xã hội tất cả những người con hoàn toàn có địa vị xã hội giống hệt như những người cha của họ thì ta có thể biết rằng xã hội đó là đóng kín một cách nghiêm ngặt về mặt cấu trúc xã hội. Lúc đó, tỉ lệ di động thực tế bằng 0. Mặt khác, nếu địa vị xã hội của những người con khác hoàn toàn với cha của họ thì ta có thể nói rằng xã hội đó đã trải qua một cuộc cách mạng về cấu trúc xã hội (hình ảnh ví von như là xảy ra một cuộc cách mạng xã hội). Lúc đó, tỉ lệ di động thực tế bằng 1. Điều này cũng thể hiện ý nghĩa xã hội học tiếp theo qua công thức (2) từ Bảng 1.3.
Yasuda cho biết, di động thực tế của xã hội được tạo ra bởi di động của các cá nhân. Nó có thể do ba nhóm nguyên nhân: (1) Sự thay đổi khách quan về kết cấu của những tầng lớp trong xã hội; (2) Sự thay đổi về quy mô dân số trong mỗi tầng lớp xã hội khác nhau (sinh, chết, nhập cư, chuyển cư); và (3) Sự thay thế dịch chuyển lẫn nhau của những cá nhân giữa các nhóm địa vị xã hội[1]. Chúng ta không thể quy gán được di động của từng cá nhân vào một trong ba nhóm nhân tố kể trên. Nhưng chúng ta có thể phân tách được tổng số di động thực tế của toàn xã hội thành hai loại: (a) Di động cưỡng bức, hoặc di động cấu trúc (forced mobility, structural mobility) được tạo ra do hai nhóm nguyên nhân đầu tiên (tức nguyên nhân thuộc về cấu trúc); và (b) Di động thuần, hoặc di động tuần hoàn, hoặc di động trao đổi (pure mobility, circulation mobility, exchange mobility) được tạo ra do nhóm nguyên nhân thứ ba (nguyên nhân không thuộc về cấu trúc). Đồng thời, chúng ta có thể đánh giá được phần đóng góp của mỗi loại di động chiếm bao nhiêu phần trăm (Yasuda, 1964:16). Cụ thể, biểu diễn bằng phương trình toán học ta có:
Tổng số di động thực tế[2] = Tổng số di động cấu trúc + Tổng số di động tuần hoàn
Di động cấu trúc thể hiện sự thay đổi về địa vị xã hội từ thế hệ cha sang thế hệ con do hai nhóm nguyên nhân thứ nhất và thứ hai quy định. Như thế, nó cũng biểu lộ sự biến đổi cấu trúc xã hội trong quá trình phát triển. Cụ thể, tổng số di động cấu trúc trong toàn xã hội là sự khác nhau của những con số thể hiện tần suất ở mép lề của cha và con trong Bảng1.3[3]. Khi tính theo tỉ lệ, ta có công thức sau đây (Kosaka, 1994:187):
Tỉ lệ di động cấu trúc =
(3)
Ý nghĩa xã hội học của công thức (3) đã được trình bày ở đoạn trên. Hoặc, từ hai nhóm nguyên nhân thứ nhất và thứ hai ta sẽ hiểu rõ hơn ý nghĩa của công thức (3)[4]. Cuối cùng là di động tuần hoàn ở Bảng 1.3:
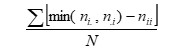
Số di động tuần hoàn (cho tầng lớp i)= min(ni. , n.i) – nii (Yasuda, 1964:18)[5].
Hoặc, viết theo cách khác (Yasuda, 1971:91):
Số di động tuần hoàn= n.i – nii nếu ni. > n.i
Số di động tuần hoàn= ni. – nii nếu ni. < n.i
Tỉ lệ di động tuần hoàn (cho toàn xã hội) được tính toán theo công thức sau đây (Kosaka, 1994:187):
Tỉ lệ di động tuần hoàn =
(4)
Ý nghĩa xã hội học của công thức (4) được suy ra từ nhóm nguyên nhân thứ ba trình bày trên đây. Dựa vào xu hướng thay đổi của tỉ lệ di động tuần hoàn ở công thức (4), ta có thể biết được sự vận động của xã hội là mở (khi dãy chỉ số tăng dần), hay khép kín (khi dãy chỉ số giảm dần), và thậm chí khép kín hoàn toàn (khi di động tuần hoàn bằng 0). Yasuda đã cho biết mối quan hệ giữa di động thực tế, di động cấu trúc và di động tuần hoàn thông qua ba nhóm nguyên nhân ở trên. Người ta cũng dễ dàng chứng tỏ rằng:
Tỉ lệ di động thực tế = Tỉ lệ di động cấu trúc + Tỉ lệ di động tuần hoàn
Hoặc là:
= +
Tóm lại: Từ Bảng 1.3, Yasuda đã trình bày theo cách khác về số di động thực tế, số di động cấu trúc và số di động tuần hoàn cho phạm trù (tầng lớp) i như sau:

Mặc dù di động xã hội được tạo ra bởi di động của các cá nhân, nhưng các khái niệm di động thực tế, di động cấu trúc và di động tuần hoàn là những khái niệm ở cấp độ toàn xã hội, hoặc từng nhóm địa vị xã hội, mà không phải ở cấp độ cá nhân.Trong số các công thức nêu trên, người ta thường đề cập nhiều đến công thức (4). Sở dĩ như vậy, bởi vì từ công thức (4), người ta có thể tìm ra hệ số mở (coefficient of openness) cho toàn xã hội, hoặc cho từng nhóm/tầng lớp xã hội. Hệ số mở cho từng nhóm/tầng lớp xã hội được tính toán như sau (Yasuda, 1964: 18):
yii =
(5)
Hệ số mở cho toàn xã hội (tức là cho tổng số các nhóm địa vị xã hội) còn gọi là chi số Yasuda tổng thể (Overall Yasuda Index), gọi tắt là chỉ số Yasuda (Yasuda Index) sẽ là (Yasuda, 1964:18; Kosaka, 1994:187):
Y =
(6)
Trong công thức (5) và (6), fii = (ni. × n.i)/N chính là giá trị kỳ vọng (expected value) với điều giả sử có sự độc lập thống kê. Điều này có nghĩa rằng, giả sử số quan sát ở ô nii đạt tới giá trị kỳ vọng, thì ta có thể kết luận rằng những người con ở ô đó đã di chuyển tới địa vị xã hội mới một cách độc lập hoàn toàn với địa vị xã hội cũ của cha họ. Nói cách khác, địa vị xã hội của cha đã không có tí ảnh hưởng nào tới địa vị xã hội của con.
Cả hai giá trị yii và Y đều bằng 1 khi ô thứ i và tất cả các ô nii trên đường chéo chính đạt giá trị kỳ vọng. Lúc đó, di động xã hội ở Bảng 1.3 đạt tới trạng thái gọi là di động hoàn hảo (perfect mobility) độc lập hoàn toàn với địa vị xã hội của cha. Mặt khác, cả hai giá trị yii và Y đều bằng 0 khi không có di động tuần hoàn, tức là di động tuần hoàn bằng 0 (Yasuda, 1964:18; Kosaka, 1994:58). Đến khi ấy, di động xã hội ở Bảng 1.3 đạt tới trạng thái gọi là tình trạng xã hội khép kín hoàn toàn (totally closed).
Một số lưu ý về phuơng pháp đo lường di động xã hội giữa các thế hệ:
(a) Thời điểm so sánh giữa các thế hệ (Yasuda, 1964: 20-22)
Khi nghiên cứu di động giữa các thế hệ, việc chọn thời điểm so sánh giữa nghề nghiệp của con trai và của cha là vào khi nào? Đây là yêu cầu quan trọng về mặt phương pháp luận để tính toán chỉ số Yasuda trong Bảng 1.3 sao cho chính xác và có ý nghĩa. Trong cuộc đời của người con trai, từ khi anh ta sinh ra đến khi có nghề nghiệp để sinh sống là khoảng thời gian mà địa vị xã hội của anh ta phụ thuộc vào địa vị xã hội của cha (hoặc địa vị mượn - borrowed status). Tại thời điểm mà người con trai có nghề nghiệp để sinh sống là thời điểm đánh dấu sự trưởng thành của anh ta. Lúc đó, người con trai đã trưởng thành và độc lập với cha của họ. Khi ấy, để xác định địa vị xã hội của người con trai thì phải dựa vào nghề nghiệp của anh ta, mà không dựa vào địa vị của người bố nữa. Đây là thời điểm có nghề nghiệp đầu tiên (nghề nghiệp thứ nhất) của cuộc đời con người. Cũng tại thời điểm này, địa vị xã hội của bố thường có ảnh hưởng đến nghề nghiệp đầu tiên của con trai (Yasuda, 1964:20-21). Hoặc đó cũng là thời điểm ghi nhận thành quả hướng nghiệp cho con trai trong suốt quá trình sống phụ thuộc vào cha mẹ để anh ta có được nghề nghiệp đầu tiên. Như vậy, nghề nghiệp đầu tiên của con trai có thể giống và cũng có thể khác với nghề nghiệp của cha tại cùng thời điểm đó. Điều này đã phản ánh sự thay đổi nghề nghiệp từ cha sang con trai. Đây chính là thời điểm tốt nhất để đo lường di động xã hội giữa các thế hệ. Tức là, việc so sánh nghề nghiệp đầu tiên của người con trai với nghề nghiệp của cha tại cùng thời điểm (cùng thời điểm có nghề nghiệp đầu tiên của người con trai) là yêu cầu quan trọng trong việc đo lường di động xã hội giữa các thế hệ. Nếu thỏa mãn yêu cầu này thì phép đo lường mới thể hiện chính xác sự di động giữa các thế hệ. Ngoài ra, việc chọn những thời điểm đo lường khác rất có thể dẫn đến những kết quả khác nhau và sẽ không thể hiện chính xác sự di động giữa các thế hệ. Ví dụ sau khi có nghề nghiệp đầu tiên, người con trai có thể không thay đổi, hoặc tiếp tục thay đổi sang những nghề nghiệp khác. Điều này nó phản ánh sự di động nội tại trong một thế hệ (intra-generational mobility). Tức là, sau thời điểm có nghề nghiệp đầu tiên, sự di động trong một thế hệ đã có thể bắt đầu diễn ra. Nếu đo lường di động xã hội vào thời kỳ này thì nó sẽ phản ánh sự di động nội tại trong một thế hệ, mà không thể phản ánh chính xác di động giữa các thế hệ.
(b) Gia đình trong di động thế hệ (Yasuda, 1964:22-23)
Chúng ta thường xem xét di động xã hội dưới góc độ của hành vi cá nhân thuần túy, mà lại quên rằng giữa cha và con trai đều cùng thuộc một đơn vị gia đình. Do vậy, các nhà xã hội học đã chỉ ra sự cần thiết phải lưu ý đến quan hệ gia đình khi nghiên cứu di động xã hội. Dưới đây là trình bày cụ thể hơn.
(b.1) Chọn mẫu nghiên cứu là con trai trưởng, hay là con trai thứ?
Trong một gia đình, những người con trai khác nhau sẽ kế tục nghề nghiệp của cha cũng khác nhau. Trong đó, người con trai trưởng thường kế tục nghề nghiệp của cha hơn là những người con trai thứ. Đặc biệt ở các nước phương Đông - nơi có truyền thống quyền thừa kế thường dành cho người con trai trưởng - thì vấn đề con trai trưởng kế tục nghề nghiệp của cha lại càng nổi rõ. Ví dụ điển hình về vấn đề này là tầng lớp nông dân trong xã hội Nhật Bản. Những hộ gia đình nông dân ở Nhật Bản thường dành cho con trai trưởng sự kế tục nghề nông của gia đình để giữ lấy quyền thừa kế đất đai là vốn quý ở Nhật Bản (Yasuda, 1964:22). Ta có thể suy ra hai trường hợp khi nghiên cứu về di động xã hội trong tầng lớp nông dân ở Nhật Bản như sau: (1) Trường hợp thứ nhất, nếu lấy mẫu nghiên cứu chỉ bao gồm những người con trai trưởng, thì ta sẽ quan sát thấy sự di động giữa các thế hệ rất ít xảy ra trong tầng lớp nông dân ở Nhật Bản. Tức là tầng lớp nông dân ở Nhật Bản là nhóm xã hội tương đối khép kín và có độ mở rất nhỏ, bởi vì nghề nghiệp của con trai trưởng thường giống với nghề nghiệp của cha họ.(2) Trường hợp thứ hai,nếu lấy mẫu nghiên cứu chỉ bao gồm những người con trai thứ thì kết quả sẽ khác với trường hợp thứ nhất. Lúc đó, ta sẽ quan sát thấy tầng lớp nông dân ở Nhật Bản không còn là nhóm xã hội khép kín như trường hợp thứ nhất nữa.Cả hai trường hợp này đều phản ánh sai lệch về di động xã hội giữa các thế hệ. Các cuộc điều tra thực nghiệm xã hội học khi tiến hành nghiên cứu thường không rơi vào một trong hai trường hợp kể trên. Người ta thường chọn mẫu những người con trai một cách ngẫu nhiên và có thể bao gồm cả con trai trưởng cùng với con trai thứ. Nêu ra hai trường hợp ở đâynhằm lưu ý đến điều này khi tiến hành nghiên cứu di động xã hội giữa các thế hệ. Nếu ngẫu nhiên rơi vào một trong hai trường hợp như vậy,thì chúng ta sẽ biết cách giải thích sự sai lệch của kết quả nghiên cứu là do đâu.
(b.2) Xác định thế hệ được bắt đầu từ bố, hay là từ con trai?
Thứ nhất là bắt đầu từ con trai. Những nghiên cứu về di động xã hội giữa các thế hệ thường sử dụng người con trai như là xuất phát điểm (tức là dùng làm đơn vị chọn mẫu) để đi tìm thông tin về bố của anh ta. Nhưng trong thực tế xã hội, một người cha lại thường có nhiều hơn một người con trai. Do vậy, nếu bắt đầu từ những người con trai thì rất có thể sẽ tìm đến và trùng lặp vào cùng một người cha của họ. Như thế, số lượt người cha được gắn vào con trai sẽ nhiều hơn những người cha trong thực tế. Nói cách khác, số lượng người cha sẽ bị “phóng đại”lên, bởi vì một người cha có thể được tính “lặp lại” tới hai lần. Tất nhiên, mẫu nghiên cứu thực tế về những người con trai thì số con trai cùng chung một bố có thể là không đáng kể. Hơn nữa, nếu người ta chọn mỗi hộ gia đình một người con trai đại diện thì số lượng người bố được tính “lặp lại” sẽ ít đi rất nhiều. Thứ hai là bắt đầu từ bố. Tuy nhiên, ta có thể tránh xa trường hợp thứ nhấtbằng cách xác định thế hệ được bắt đầu từ bố. Tức là, đầu tiên hãy sử dụng người cha làm đơn vị chọn mẫu để đi tìm thông tin về con trai của họ. Trong trường hợp này, mỗi người con trai đều có tương ứng một người cha riêng biệt. Sẽ không có người bố nào được tính “lặp lại” tới hai lần. Tuy nhiên, trường hợp này sẽ có những hạn chế nhất định so với trường hợp thứ nhất. Dưới đây là ví dụ minh họa cho hai trường hợp nêu trên (Yasuda, 1964:22~23).
Giả sử ta có một xã hội tưởng tượng X bao gồm 3 hộ gia đình. Gia đình A chỉ có 1 con trai và anh ta kế tục theo nghề của cha. Gia đình B có 2 con trai. Trong đó, người con trai cả theo nghề của cha, còn người con trai thứ thì không. Gia đình C có 3 người con trai. Trong đó, một trong hai người con trai thứ theo nghề của cha, hai con trai còn lại thì không. Tùy thuộc vào cách phân tích di động giữa các thế hệ mà ta có những kết quả khác nhau dưới đây:
(b.2.1) Theo cách tiếp cận thông thường và phổ biến, như ở trường hợp thứ nhất là bắt đầu từ tất cả những người con trai, ta có trong xã hội X bao gồm tất cả 6 người con trai trong mẫu nghiên cứu. Trong đó, có 3 con trai kế tục nghề của bố và 3 con trai còn lại thì không. Như vậy, tỉ lệ kế tục nghề nghiệp là 3 con trai/tổng số 6 con trai = 50% = 0,5. Phần còn lại sẽ là 50% con trai không kế tục nghề của bố. Tức là tỉ lệ di động nghề nghiệp là 50% và tỉ lệ không di động (cố định) nghề nghiệp cũng là 50%. Hoặc là dựa vào công thức (2) = (N — Snii)/N, ta cũng tính được tỉ lệ di động nghề nghiệp thực tế là: (6 – 3)/6 = 3/6 = 50%. Từ đây suy ra tỉ lệ không di động thực tế cũng là 50%.
(b.2.2) Theo cách tiếp cận khác, như ở trường hợp thứ hai là bắt đầu từ tất cả những người cha, ta có trong xã hội X bao gồm tất cả 3 người bố trong mẫu nghiên cứu. Kết quả nghiên cứu sẽ khác hẳn với mục (b.2.1). Cụ thể như sau:
+ Ta có thể xem xét theo một cách nhìn và cho rằng tỉ lệ kế tục nghề nghiệp trong xã hội X là 100%, bởi vì mỗi nghề nghiệp của một người cha đều được một người con trai kế tục.
+ Cũng có thể xem xét theo cách nhìn khác: Nếu bổ sung thêm tiêu chí chỉ lựa chọn những người con trai trưởng để gắn vào 3 người cha, thì tỉ lệ kế tục nghề nghiệp trong xã hội X là 2 người bố/tổng số 3 người bố được những người con trai trưởng kế tục nghề nghiệp. Tỉ lệ 2/3 là 66,7%. Phần còn lại sẽ là 1/3 = 33,3% người bố không được con trai trưởng kế tục nghề nghiệp. Tức là tỉ lệ di động nghề nghiệp là 33,3% và tỉ lệ không di động (cố định) nghề nghiệp là 66,7%. Hoặc là dựa vào công thức (2) = (N — Snii)/N, ta cũng tính được tỉ lệ di động nghề nghiệp thực tế là: (3 – 2)/3 = 1/3 = 33,3%. Từ đây suy ra tỉ lệ không di động thực tế là 66,7%.
+ Cuối cùng là cách nhìn khác hẳn với hai trường hợp trên đây: Nếu tính toán tỉ lệ kế tục nghề nghiệp riêng rẽ cho từng hộ gia đình, thì tỉ lệ kế tục nghề nghiệp là 100% ở gia đình A, 50% ở gia đình B và 33,3% ở gia đình C, bởi vì ở hai gia đình B và C những người con trai chỉ kế tục một phần nghề nghiệp cha của họ. Từ đây, ta có tỉ lệ kế tục nghề nghiệp trong toàn xã hội sẽ là (100% + 50% + 33,3%)/3 = 61,1%.
Trong hai cách tiếp cận kể trên (xuất phát từ cha, hoặc con), cách tiếp cận nào phản ánh sát thực tế nhất về xã hội? Điều đó sẽ phụ thuộc vào từng hoàn cảnh xã hội cụ thể. Nhưng dù sao trong trường hợp thứ hai (tức mục b.2.2), tỉ lệ kế tục nghề nghiệp theo ba cách nhìn kể trên (bằng 100%, 66,7% và 61,1%) đều lớn hơn trường hợp thứ nhất (tức mục b.2.1) bằng 50%. Sở dĩ có điều này, bởi vì tỉ lệ kế tục nghề nghiệp được xác định theo phương pháp bắt đầu từ bố thường cao hơn bắt đầu từ con trai. Điều này càng thể hiện rõ hơn trong những xã hội phương Đông - nơi có truyền thống quyền thừa kế thường dành cho người con trai trưởng (ví dụ, xã hội Nhật Bản chẳng hạn). Như vậy trong ví dụ của xã hội tưởng tượng X trên đây, việc xác định thế hệ được bắt đầu từ con trai hay là từ người bố, đã cho ta hai bức tranh khác hẳn về di động xã hội. Dẫn ra hai trường hợp của việc xác định thế hệ được bắt đầu từ đâu là nhằm để lưu ý đến điều này khi tiến hành nghiên cứu di động xã hội giữa các thế hệ. Trên thực tế, những nghiên cứu về di động xã hội giữa các thế hệ thường sử dụng người con trai như là xuất phát điểm để dùng làm đơn vị chọn mẫu.
Trên đây là những tìm hiểu về di động xã hội và phương pháp đo lường di động xã hội giữa các tầng lớp như thế nào. Phương pháp đo lường này sẽ được áp dụng vào nghiên cứu ở Việt Nam trong Chương III [DI ĐỘNG XÃ HỘI GIỮA CÁC TẦNG LỚP].
♣
Tóm lại, dựa trên thực tế lịch sử và những trình bày lý thuyết về phân tầng xã hội, di động xã hội, ta có thể tóm lược một số đặc trưng cơ bản và các thông số về 8 hệ thống phân tầng xã hội điển hình trong lịch sử loài người như sau:
Bảng 1. 4. Các thông số và đặc trưng cơ bản về những hệ thống phân tầng xã hội điển hình trên thế giới
|
Hệ thống |
Những tài sản chính |
Các giai tầng chủ yếu |
Bất bình đẳng |
Bền vững[6] về địa vị |
Mức độ hội tụ[7] các địa vị |
Phương thức đạt tới địa vị |
Di động xã hội |
Hệ tư tưởng |
|
A. Xã hội săn bắn và hái lượm |
||||||||
|
1. Bộ lạc |
Con người (săn bắn và kỹ năng đặc biệt) |
Thủ lĩnh, pháp sư và các thành viên bộ lạc |
Thấp |
Thấp |
Cao |
- |
- |
Chọn lựa người tài |
|
B. Xã hội nông nghiệp |
||||||||
|
2. Hình thái châu Á |
Chính trị (giữ chức vụ) |
Người có chức vụ và nông dân |
Cao |
Trung bình |
Cao |
- |
- |
Giáo lý tín ngưỡng và tôn giáo |
|
3. Chiếm hữu nô lệ |
Kinh tế (tài sản con người) |
Chủ nô, nô lệ, người tự do |
Cao |
Trung bình – Cao |
Cao |
Quy gán sẵn |
Khép kín |
Giáo lý về bản chất & sự thấp kém xã hội của nô lệ |
|
4. Xã hội đẳng cấp |
Uy tín và văn hóa (dân tộc thượng đẳng, lối sống) |
Các đẳng cấp, tiểu đẳng cấp |
Cao |
Cao |
Cao |
Quy gán sẵn |
Khép kín |
Giáo lý tín ngưỡng và tôn giáo Hindu |
|
5. Phong kiến (châu Âu)
|
Kinh tế (đất đai và sức lao động) |
Quý tộc, tăng lữ, thường dân |
Cao |
Trung bình – Cao |
Cao |
Quy gán sẵn |
Khép kín |
Giáo lý Catholic La Mã và tín ngưỡng |
|
C. Xã hội công nghiệp |
||||||||
|
6. Hệ thống giai cấp |
Kinh tế (tư liệu sản xuất) |
Tư sản và người lao động |
Trung bình – Cao |
Trung bình |
Cao |
Quy gán sẵn, giành đạt được |
Ít khép kín |
Chủ nghĩa tự do kinh điển/cổ điển |
|
7. Chủ nghĩa xã hội nhà nước |
Chính trị (đảng phái và quyền hành nơi làm việc) |
Người quản lý, bị quản lý |
Thấp – Trung bình |
Thấp – Trung bình |
Cao |
Quy gán sẵn, giành đạt được |
Ít khép kín |
Chủ nghĩa Marx và Lenin |
|
8. Công nghiệp phát triển |
Con người (học vấn, chuyên môn) |
Các nhóm kỹ năng nghề nghiệp |
Trung bình |
Thấp – Trung bình |
Trung bình |
Quy gán sẵn, giành đạt được |
Mở |
Chủ nghĩa tự do kinh điển/cổ điển |
Nguồn: Biên tập lại (có bổ sung và thay đổi) từ tài liệu (Grusky, 2001:9)
Từ Bảng 1.4, ta có thể rút ra một số đặc điểm của hệ thống phân tầng xã hội theo tiến trình phát triển từ xã hội nông nghiệp lên xã hội công nghiệp như sau:
+ Càng đến xã hội công nghiệp, các hệ thống phân tầng có sự di động xã hội nhiều hơn (ít khép kín hơn) và người ta kỳ vọng di động đi lên nhiều hơn. Do vậy, hệ thống phân tầng xã hội cũng có tính mở nhiều hơn (tức là hệ thống phân tầng mở, không phải khép kín/đóng).
+ Hệ thống phân tầng trongxã hội công nghiệp có tầng lớp trung lưu ngày càng đông đảo, bởi vì di động đi lên đã tạo lập nên quá trình hình thành tầng lớp trung lưu.
+ Hệ thống phân tầng trongxã hội công nghiệp có địa vị giành đạt được thường nổi trội hơn địa vị quy gán sẵn. Tức là, quá trình đạt được về địa vị KT-XH của cá nhân thường dựa nhiều hơn vào những nhân tố có thể phấn đấu để giành đạt được (như học vấn, bằng cấp, tri thức, kỹ năng và kinh nghiệm), chứ không phải những nhân tố quy gán sẵn.
+ Xã hội công nghiệp càng phát triển, các loại nguồn lợivà tài sản chủ yếu (Bảng 1.1) dùng để phân nhóm và xếp hạng các tầng lớp ngày càngđa dạng(do nhiều nguồn lực có giá trị mới xuất hiện). Do vậy,hệ thống phân tầng trở nên phức hợp hơn, bởi vì những tiêu chuẩn phân nhóm và xếp hạng các tầng lớp đã tương tác và đan chéo lẫn nhau. Từ đây dẫn đến việc sắp xếp thứ hạng các cá nhân và các nhóm theo những chiều cạnh khác nhau trong tôn ti thứ bậc xã hội thường không trùng hợp nhau, do vậy dẫn đến tình trạng không nhất quán về vị thế.
Mặc dù đa số các nhà nghiên cứu trên thế giới nhất trí rằng vị thế nghề nghiệp và công ăn việc làm đã tạo lập nên chiếc xương sống của phân tầng hiện đại, nhưng họ cũng thừa nhận còn có thể nảy sinh các tầng lớp xã hội xung quanh các nhóm tài sản và nguồn lợi khác (ảnh hưởng chính trị, quyền uy, vị thế chủng tộc-sắc tộc, giới, uy tín, học vấn, kỹ năng, vốn con người, tri thức, mạng lưới xã hội, vốn xã hội, vốn văn hóa, thị hiếu, phong cách sống, quyền con người). Các nhà nghiên cứu hiện nay về phân tầng xã hội thường kết hợp các chiều cạnh giai cấp (kinh tế), vị thế nghề nghiệp và quyền uy với nhau để tạo lập nên những sơ đồ phân tầng và bản đồ giai cấp mang tính tổng hợp. Đặc biệt, Erick Olin Wright (1997) đã lần lượt phân tích giai cấp, nghiên cứu phân tầng theo giới và tộc người đặt cạnh nhau (Pakulski, 2006:586). Như vậy, bước phát triển tiếp tục là sự chuyển hướng quan tâm nghiên cứu đến vai trò của tộc người và giới trong sự phân tầng, tức là sự phân tầng theo tộc người và giới (từ 1960~1970 cho tới nay). Trong xã hội hiện đại ngày nay, giới có ảnh hưởng nhất định đến sự phân tầng và nó độc lập tương đối so với giai cấp. Tuy nhiên đời sống hàng ngày, giới, tộc người và giai cấp cùng kết hợp với nhau trong hệ thống phân tầng, tương tác với nhau nhằm tiếp cận những nguồn tài sản, nguồn lợi của con người và thể hiện câu hỏi: “Ai có được cái gì?” Quá trình toàn cầu hóa tăng lên hiện nay, nhiều nhà xã hội học nhìn thế giới trong một tổng thể như là được phân tầng điển hình theo chiều cạnh kinh tế và quyền lực. Do vậy, quốc gia phụ thuộc và các nhà lý luận về hệ thống thế giới đãphân biệt các tầng lớp quốc gia quyền lực giữa các nước trung tâm quyền lực, các nước vùng ven và các nước ngoại vi (Pakulski, 2006: 586-587).
Như vậy, các lý thuyết phân tầng xã hội đều xuất phát từ K. Marx, M. Weber và đã phát triển tiếp tục về sau này. Từ chỗ chỉ thừa nhận chiều cạnh kinh tế trong sự phân chia thành các giai cấp và mối quan hệ giữa các giai cấp là quan hệ bóc lột (K. Marx), đã đi đến chỗ cho rằng ba chiều cạnh căn bản (kinh tế, quyền lực và uy tín) làm cơ sở xác định các tầng lớp xã hội (M. Weber). Đồng thời, mối quan hệ giữa các giai cấp là quan hệ chức năng và xung đột (tức là kết hợp giữa thuyết chức năng và thuyết xung đột), chứ không chỉ là quan hệ bóc lột như trước nữa. Tiếp tục, các chiều cạnh vốn văn hóa, vốn xã hội, vốn con người và quyền công dân cũng đóng vai trò quan trọng trong quá trình tạo lập nên hệ thống phân tầng xã hội. Cuối cùng, chiều cạnh giới và tộc người cũng tham gia đan chéo với các chiều cạnh đã có làm khuếch đại thêm những bất bình đẳng trong hệ thống phân tầng. Thành tựu nghiên cứu này về phân tầng xã hội trên thế giới là những kiến thức cơ bản cần nắm vững để suy ngẫm và gợi ra những vấn đề cho xã hội học Việt Nam trong quá trình hội nhập quốc tế hiện nay.
(Còn nữa)
[1] Nguyên nhân thứ ba này được truyền đạt chính xác hơn so với thể hiện trước đây của tác giả (Đỗ Thiên Kính, 2012:151).
[2] Từ Bảng 1.3, người ta cũng phân tách chi tiết hơn nữa rằng, tổngsố di động thực tế đi ra khỏi (factual out-mobility) hàng địa vị thứ 1 của cha bằng (=) tổng số hàng địa vị thứ 1 của cha (n1.) trừ đi tổng số địa vị không thay đổi từ cha sang con (n11). Tức là (bằng) =n1. – n11 . Ở các hàng địa vị khác (hàng thứ i, . . . thứ k) cũng tương tự. Khái quát lại ta có, tổngsố di động thực tế đi ra khỏi hàng thứ i (bằng) =ni.– nii (Yasuda, 1964:18; 1971:91).
Mặt khác, tổngsố di động thực tế đi vào (factual in-mobility) cột địa vị thứ 1 của con bằng (=) tổng số địa vị cột thứ 1 của con (n.1) trừ đi tổng số địa vị không thay đổi từ cha sang con (n11). Tức là (bằng) =n.1 –n11 . Ở các cột địa vị khác (cột thứ i, . . . thứ k) cũng tương tự.Khái quát lại ta có, tổngsố di động thực tế đi vàocột thứ i (bằng) =n.i– nii(Yasuda, 1964:18; 1971:91).
[3 ] Về đại thể, từ Bảng 1.3 di động cấu trúc được hiểu như sau: Di động cấu trúc là sự khác nhau giữa phân bố tần suất ở mép lề của cha và con trong bảngvà nó phản ánh sự thay đổi nghề nghiệp hoặc công nghiệp từ thế hệ cha sang thế hệ con. Nó thường được đo lường bởi phần trăm khác nhau giữa hai mép lề trong bảng (Kosaka, 1994:56). Từ đây, tôi suy ra công thức tính toán tỉ lệ khác nhau giữa hai mép lề trong Bảng 1.3 là = | ni.– n.i| / N (Kosaka, 1994:57).
[4] Từ Bảng 1.3 và công thức (3), người ta cũng phân chia thành di động cấu trúc đi ra khỏi (structural out-mobility) và di động cấu trúc đi vào trong (structural in-mobility) từng nhóm địa vị xã hội.Tổng số di động cấu trúc đi ra khỏi hàng địa vị thứ 1 của cha bằng (=) tổng số hàng địa vị thứ 1 của cha (n1.) trừ đi số nhỏ hơn trong hai số (n1.) và (n.1). Tức là (bằng) =n1. – min(n1.,n.1). Ở các hàng địa vị khác (hàng thứ i, . . . thứ k) cũng tương tự. Khái quát lại ta có, tổng số di động cấu trúc đi ra khỏi hàng thứ i (bằng) =ni.– min(ni.,n.i) (Yasuda, 1964:18). Như vậy, nếu ni. >n.i (tức biểu lộ cho sự thu hẹp tầng lớp i – Đỗ Thiên Kính giải thích thêm) thì di động cấu trúc đi ra (bằng) = ni.– n.i , còn nếu ni. < n.i (tức biểu lộ cho sự mở rộng tầng lớp i – Đỗ Thiên Kính giải thích thêm) thì di động cấu trúc đi ra (bằng) = ni.– ni. = 0 (Yasuda, 1971:91).
Mặt khác, tổng số di động cấu trúc đi vào cột địa vị thứ 1 của cha bằng (=) tổng số cột địa vị thứ 1 của cha (n.1) trừ đi số nhỏ hơn trong hai số (n1.) và (n.1). Tức là (bằng) =n.1– min(n1.,n.1). Ở các cộtđịa vị khác (cộ tthứ i, . . . thứ k) cũng tương tự. Khái quát lại ta có, tổng số di động cấu trúc đi vào cột thứ i (bằng) =n.i– min(ni.,n.i) (Yasuda, 1964:18). Như vậy, nếu ni. >n.i thì di động cấu trúc đi vào (bằng) = n.i– n.i = 0 , còn nếu ni. < n.i thì di động cấu trúc đi vào (bằng) = n.i– ni. (Yasuda, 1971:91).
Từ sự phân chia thành di động cấu trúc“đi ra” và “đi vào” trên đây, Kenji Kosaka cho biết tổng tỉ lệ di động cấu trúc đi ra và đi vào (Bảng 1.3) đều là = ∑ | ni.– n.i | / N . Do vậy, tổng tỉ lệ di động cấu trúc cho toàn xã hội sẽ bao gồm cả hai hướng “đi ra” và “đi vào” = ∑ | ni.– n.i | / 2N (Kosaka, 2004). Từ đây, tôi suy ra tỉ lệ di động cấu trúc cho phạm trù (tầng lớp) i được đo lường bằng tỉ lệ khác nhau giữa hai mép lề trong bảng (Kosaka, 1994:72) sẽ = | ni.– n.i| / N .
[5 ] Từ đây, tôi suy ra tỉ lệ di động tuần hoàn (cho tầng lớp i)= [min(ni. , n.i) – nii ] / N
[6] Mức độ “bền vững về địa vị” được chuyển ngữ từ khái niệm cơ bản “rigidity”. Khái niệm này của hệ thống phân tầng nhằm ám chỉ địa vị xã hội của các thành viên được tiếp nối liên tục qua thời gian. Ví dụ, nếu của cải, quyền lực và uy tín hiện tại của cá nhân đã được dự báo chính xác trên cơ sở địa vị trước đây (hoặc địa vị của cha mẹ), thì hệ thống phân tầng đó được gọi là có mức độ bền vững cao, hoặc “khép kín xã hội” (Grusky, 2001:6).
[7] Mức độ “kết tinh/hội tụ các địa vị” được chuyển ngữ từ khái niệm cơ bản “status crystallization”. Khái niệm này nhằm ám chỉ mối tương quan giữa các loại tài sản (ở Bảng 1.1). Nếu các mối tương quan là mạnh, thì sẽ xuất hiện sự nhất quán về địa vị (status consistency) ở những cá nhân trên đỉnh và dưới đáy hệ thống phân tầng (Grusky, 2001:6). Tức là, nếu mối tương quan mạnh, thì sẽcó sự “quy tụ”/“hội tụ” các loại tài sản vào cùng mỗi tầng lớp (để tạo nên sự rõ ràng/kết tinh về địa vị – status crystallization – cho mỗi tầng lớp đó). Các loại tài sản thường cùng hội tụ vào tầng lớp trên đỉnh và không hội tụ vào tầng lớp dưới đáy hệ thống phân tầng. Như vậy, khái niệm “status crystallization” có phần tương đương với “status consistency”.
tin tức liên quan
Videos
Bài học mất ngôi của nhà Lý
Mâu thuẫn, xung đột trong quan hệ Việt - Trung và chiến tranh biên giới tháng 2 - 1979
Lý thuyết Trò chơi và Kinh tế học (Kỳ 1)
Những khúc tưởng niệm - Văn hóa tri ân các anh hùng liệt sỹ
Giấc mộng Trung Hoa: Tư duy nước lớn và vị thế chiến lược của Trung Quốc trong kỷ nguyên hậu Hoa Kỳ (kỳ 8)
Thống kê truy cập
114650663
2536
2375
22786
227449
134162
114650663